网赌平台

当前位置: 网赌平台  新闻动态  科研聚焦

科研聚焦

张国仁博士课题组在层状钙钛矿反常晶体场劈裂研究方面取得进展

责任编辑: 发布时间:2026-04-15 浏览次数:16

近日,我院2023级硕士研究生黄景涛、王雨菁和张国仁博士在层状钙钛矿反常晶体场劈裂研究方面取得进展。他们的研究结果表明,“层状钙钛矿材料中晶体场劈裂与传统晶体场理论预测相左的现象”是非常普遍的(common),这为该类材料中应用传统晶体场理论设立了一个警示标志。相关成果以“Anomalous crystal-field splitting in layered perovskites”为题发表在 Journal of Physics: Condensed Matter( J. Phys.: Condens. Matter 38 145702(2026))上。

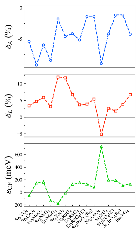
层状钙钛矿材料因非传统超导、自旋-轨道Mott绝缘态、Hund金属行为及各种新奇的电荷、自旋、轨道序而备受关注。晶体场劈裂是理解这些新奇现象的“基因”性参数。在构建低能有效模型来描述这些材料中的关键物理时,人们通常基于过渡金属最近邻配体构成的八面体的畸变来估算晶体场劈裂的大小和符号(传统晶体场理论)。但近年来在一些被广泛关注的层状钙钛矿材料(如 Sr2IrO4和 Sr2CrO4)中,人们发现真实的晶体场劈裂符号与传统晶体场理论预测相反。这种反常现象在层状钙钛矿材料中是否普遍仍然未知。研究团队针对这一问题,通过第一性原理计算对一系列实验上能够制备的层状钙钛矿材料进行了详细的研究。结果表明,晶体场劈裂的“符号反转”并非个别材料所特有,而是在层状钙钛矿体系中非常普遍(common),尤其是在t2g体系中更为明显(如图所示),在部分eg体系中也可观察到;更为重要的是,即使在理想无畸变结构中,层状结构本身也会导致较大的非零晶体场劈裂(“隐式反常”)。研究团队深入地探究了导致这些反常现象的背后物理机制。他们发现,在出现显式反常(符号反转)的体系中,层状结构与A位立方体的压缩合作,在和局域八面体拉伸的竞争中占据主导地位,最终导致了与传统晶体场理论预期相左的结果;而层状结构本身导致的非零晶体场主要来源于两个方面:(1)过渡金属d轨道和配体p轨道间电荷转移能的各向异性,(2)长程静电库仑相互作用。

该工作警示研究者在层状钙钛矿材料中应用传统晶体场理论时要格外小心。同时,理论计算所得的晶体场劈裂数据也为后续构建低能有效模型理解这些材料中的新奇物理现象提供了参考。

该工作得到了国家自然科学基金的支持。

(黄景涛)

相关链接://doi.org/10.1088/1361-648X/ae5b11